
摘 要
丙泊酚廣泛應用于全身麻醉以及誘導和維持麻醉。由于其起效快、作用時間短、副作用小及適用范圍廣的特性,丙泊酚在臨床手術中得到了廣泛使用。在疫情中曾發揮過巨大的作用。
法國國家科學研究中心(CNRS)的Thomas Poisson教授團隊報道了一種連續流動過程用于合成丙泊酚,請和小編一起看看作者如何通過兩步連續反應實現丙泊酚的安全高效合成。

文末有答題抽獎活動



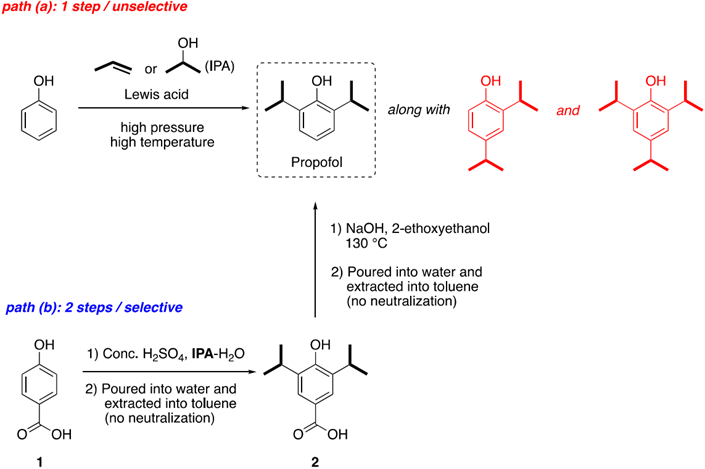
方案1. 路線(a):丙泊酚的初步合成。路線(b):根據Pramanik的修改的丙泊酚
路線(a):最初的丙泊酚合成工藝是在高溫高壓、Lewis酸條件下,通過苯酚與丙烯或異丙醇進行F-C烷基化反應,這導致了大量雜質的產生。
路線(b):為了解決雜質問題,研究人員通過改變初始原料和反應條件,成功獲得了更高純度的丙泊酚。然而,這個過程在每個步驟中都需要進行酸堿中和,這給工業生產中帶來很多弊端。

為了解決傳統工藝路線多次酸堿中和的問題,作者采用了甲苯/水混合物(方案1b),通過消除酸-堿中和過程,從而簡化了分離和純化步驟。

在丙泊酚的合成研究中,作者以4-羥基苯甲酸為起始物,通過Friedel–Crafts烷基化反應引入兩個異丙基取代基。
要實現該反應的連續化:
首先解決初始溶劑混合物的溶解度問題;
設計了一種雙進料(QA和QB)的PFA連續反應器;
經過預熱和流速的優化,作者成功地以較高的產率(84%)得到了產品;
在擴大反應規模后,產品的純度和產率均得到了保證。
表1. 在流動系統中合成化合物2a


a 反應器由PFA管(ID=1.6mm)、AFRTM Corning ®模塊泵,T型混合器,洗脫系統H2SO4/H2O(9:1).b 使用MeNO2作為內標的NMR產率. c分離收率d.200mmol/27.6g 規模 Q=流速。

在優化4-羥基苯甲酸到化合物2的雙烷基化條件后,便開始研究第二步脫羧反應。
作者進行重新設計以適應連續體系,將無機堿切換成有機堿,常見的如TEA、DIPEA和TMEDA,并于不同溶劑體系中進行研究(表2)。
表2 化合物2連續流動脫羧成丙泊酚a


a 在加熱至T = 150°C的Vapourtec® R4和R2S設備中執行,設備配備有一個銅反應器(內徑= 1 mm,反應器容積 = 10 mL,Q = 56 µL·min−1,tR = 3 h)。b 使用MeNO2作為內部標準的核磁共振產率。c 在甲苯/2-乙氧基乙醇(3:1)中為0.5M。d 在甲苯/2-乙氧基乙醇(1:1)中為0.5M。e 在DMF中為0.5M。f 在2-乙氧基乙醇中為0.5M。g 在2-丁氧基乙醇中為0.5M,以流速Q = 334 µL·min−1在200°C下執行,tR = 0.5 h。
在脫羧反應的合成過程中,作者設計了一個單股進料的連續流裝置:
通過優化溶劑和反應條件,成功提高了產率并縮短了反應時間;
采用經濟有效的TEA作為堿,并在200°C的條件下,在200°C下只需0.5小時反應就能得到69%的產率;
對比傳統反應條件150°C下3小時的反應時間,連續流工藝更具吸引力。
這表明,在流動反應條件下,產率和反應時間是影響生產效率的重要因素。
通過氣相色譜分析丙泊酚的純度結果顯示,即使在沒有進一步純化的情況下,原始混合物的純度已經非常高。

圖1. 脫羧步驟粗混合物的氣相色譜圖 (表2,條目11). 異丙酚:tR=13.643min,在2-丁氧基乙醇存在下(tR=6.095min 和6.913min)

本研究首次報道了連續流合成丙泊酚的策略。
高效連續流合成:在70min內完成兩步反應,總產率為58%,接近批量反應的64%,且最終產品純度優良;
連續流合成方法比傳統的分批合成方法更安全、高效,并且適合規模化生產;
作者改進了丙泊酚合成過程中的酸堿中和問題,通過使用連續流反應器和溫和的酸堿中和方法,成功降低了操作人員接觸濃硫酸的風險,并提高了過程的安全性和實用性;
連續流工藝改善了脫羧反應的熱傳遞效率,使得反應時間縮短到30分鐘,進一步提高了合成的效率和速度;
這項研究為將這種合成方法從實驗室規模擴展到高產量連續流生產奠定了基礎,具有非常好的應用前景。


電話
關注公眾號